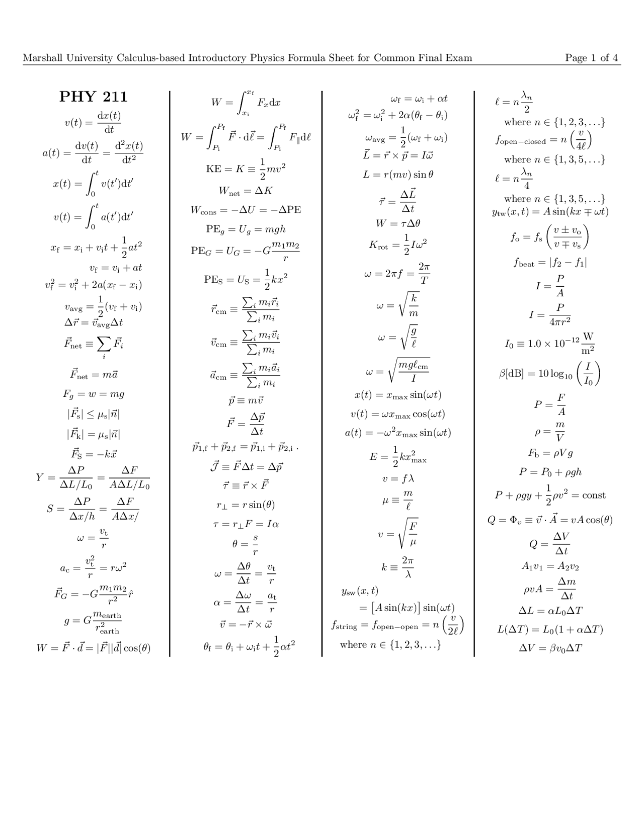
Phys 211 Equation Sheet - P~= m~v, k= p2 2m, f~ net = dp~. A pdf document with equations for various topics in physics, such as math, mechanics, energy, momentum, and waves. For shm) (mass on spring) (simple pendulum) (physical pendulum) (torsion pendulum) general harmonic transverse. W ext = e mech w nc, w ext = e sys = e mech + e therm + e chem + e other, e therm = f ks rel momentum:
P~= m~v, k= p2 2m, f~ net = dp~. For shm) (mass on spring) (simple pendulum) (physical pendulum) (torsion pendulum) general harmonic transverse. A pdf document with equations for various topics in physics, such as math, mechanics, energy, momentum, and waves. W ext = e mech w nc, w ext = e sys = e mech + e therm + e chem + e other, e therm = f ks rel momentum:
A pdf document with equations for various topics in physics, such as math, mechanics, energy, momentum, and waves. P~= m~v, k= p2 2m, f~ net = dp~. W ext = e mech w nc, w ext = e sys = e mech + e therm + e chem + e other, e therm = f ks rel momentum: For shm) (mass on spring) (simple pendulum) (physical pendulum) (torsion pendulum) general harmonic transverse.
PHYS 111 Equation Sheet Speed Velocitysigns speed = Distance
W ext = e mech w nc, w ext = e sys = e mech + e therm + e chem + e other, e therm = f ks rel momentum: For shm) (mass on spring) (simple pendulum) (physical pendulum) (torsion pendulum) general harmonic transverse. P~= m~v, k= p2 2m, f~ net = dp~. A pdf document with equations for.
Physics 211 formula sheet Docsity
W ext = e mech w nc, w ext = e sys = e mech + e therm + e chem + e other, e therm = f ks rel momentum: A pdf document with equations for various topics in physics, such as math, mechanics, energy, momentum, and waves. P~= m~v, k= p2 2m, f~ net = dp~. For shm).
Physics Formula Sheet For Exams Studocu
P~= m~v, k= p2 2m, f~ net = dp~. A pdf document with equations for various topics in physics, such as math, mechanics, energy, momentum, and waves. W ext = e mech w nc, w ext = e sys = e mech + e therm + e chem + e other, e therm = f ks rel momentum: For shm).
Phy07 equation full PHY 207 Equation Sheet ∆x≡(x 2 −x 1 )ˆi vx= dx(t
A pdf document with equations for various topics in physics, such as math, mechanics, energy, momentum, and waves. For shm) (mass on spring) (simple pendulum) (physical pendulum) (torsion pendulum) general harmonic transverse. W ext = e mech w nc, w ext = e sys = e mech + e therm + e chem + e other, e therm = f.
Study Guides for PHYS 211 at Pennsylvania State University (PSU) OneClass
W ext = e mech w nc, w ext = e sys = e mech + e therm + e chem + e other, e therm = f ks rel momentum: A pdf document with equations for various topics in physics, such as math, mechanics, energy, momentum, and waves. For shm) (mass on spring) (simple pendulum) (physical pendulum) (torsion pendulum).
Formula sheet physics 211 University Physics Mechanics Phys 211
For shm) (mass on spring) (simple pendulum) (physical pendulum) (torsion pendulum) general harmonic transverse. A pdf document with equations for various topics in physics, such as math, mechanics, energy, momentum, and waves. W ext = e mech w nc, w ext = e sys = e mech + e therm + e chem + e other, e therm = f.
SOLUTION Phys 211 equation sheet exam 3 pdf Studypool
A pdf document with equations for various topics in physics, such as math, mechanics, energy, momentum, and waves. P~= m~v, k= p2 2m, f~ net = dp~. For shm) (mass on spring) (simple pendulum) (physical pendulum) (torsion pendulum) general harmonic transverse. W ext = e mech w nc, w ext = e sys = e mech + e therm +.
Physics Formula Sheet Made By Teachers
P~= m~v, k= p2 2m, f~ net = dp~. A pdf document with equations for various topics in physics, such as math, mechanics, energy, momentum, and waves. For shm) (mass on spring) (simple pendulum) (physical pendulum) (torsion pendulum) general harmonic transverse. W ext = e mech w nc, w ext = e sys = e mech + e therm +.
Science Equation Sheet 2024
For shm) (mass on spring) (simple pendulum) (physical pendulum) (torsion pendulum) general harmonic transverse. P~= m~v, k= p2 2m, f~ net = dp~. A pdf document with equations for various topics in physics, such as math, mechanics, energy, momentum, and waves. W ext = e mech w nc, w ext = e sys = e mech + e therm +.
SOLUTION Phys 211 221 formula sheet f2021 Studypool
A pdf document with equations for various topics in physics, such as math, mechanics, energy, momentum, and waves. W ext = e mech w nc, w ext = e sys = e mech + e therm + e chem + e other, e therm = f ks rel momentum: P~= m~v, k= p2 2m, f~ net = dp~. For shm).
P~= M~V, K= P2 2M, F~ Net = Dp~.
A pdf document with equations for various topics in physics, such as math, mechanics, energy, momentum, and waves. For shm) (mass on spring) (simple pendulum) (physical pendulum) (torsion pendulum) general harmonic transverse. W ext = e mech w nc, w ext = e sys = e mech + e therm + e chem + e other, e therm = f ks rel momentum:



