Probability Exam Actuary Cheat Sheet - This foundational exam tests understanding of probability concepts that form the basis of actuarial science. 34 pages of exam p formulas; Download free exam p cheat sheets here: This comprehensive cheat sheet covers all the essential concepts you need to. Univariate probability distributions kc *learn both discrete and continuous cases *probability mass function (pmf) ∑eff. Are you preparing for the society of actuaries (soa) exam p? 11 additional pages of exam information and helpful study tips Calculate the probability that a man randomly selected from this group died of causes related to heart disease, given that neither of his parents. This compilation of equations is designed to aid the student in preparing for exam p (probability) offered through the society of actuaries.
Univariate probability distributions kc *learn both discrete and continuous cases *probability mass function (pmf) ∑eff. This compilation of equations is designed to aid the student in preparing for exam p (probability) offered through the society of actuaries. 11 additional pages of exam information and helpful study tips Are you preparing for the society of actuaries (soa) exam p? This foundational exam tests understanding of probability concepts that form the basis of actuarial science. Calculate the probability that a man randomly selected from this group died of causes related to heart disease, given that neither of his parents. 34 pages of exam p formulas; Download free exam p cheat sheets here: This comprehensive cheat sheet covers all the essential concepts you need to.
Calculate the probability that a man randomly selected from this group died of causes related to heart disease, given that neither of his parents. This compilation of equations is designed to aid the student in preparing for exam p (probability) offered through the society of actuaries. 11 additional pages of exam information and helpful study tips Download free exam p cheat sheets here: Univariate probability distributions kc *learn both discrete and continuous cases *probability mass function (pmf) ∑eff. 34 pages of exam p formulas; Are you preparing for the society of actuaries (soa) exam p? This comprehensive cheat sheet covers all the essential concepts you need to. This foundational exam tests understanding of probability concepts that form the basis of actuarial science.
The Ultimate Actuary Exam P Formula Sheet Everything You Need to Know
This compilation of equations is designed to aid the student in preparing for exam p (probability) offered through the society of actuaries. This foundational exam tests understanding of probability concepts that form the basis of actuarial science. 11 additional pages of exam information and helpful study tips 34 pages of exam p formulas; This comprehensive cheat sheet covers all the.
Exam fm formula sheet fm question coachingactuaries Copyright
11 additional pages of exam information and helpful study tips Are you preparing for the society of actuaries (soa) exam p? This foundational exam tests understanding of probability concepts that form the basis of actuarial science. 34 pages of exam p formulas; Univariate probability distributions kc *learn both discrete and continuous cases *probability mass function (pmf) ∑eff.
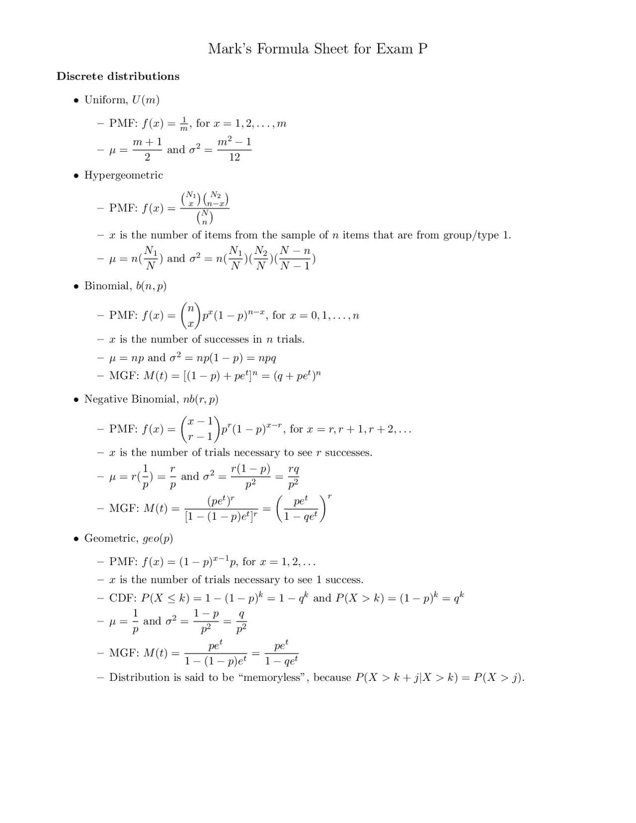
Coaching Actuaries SOA Exam P (Probability) Formula Sheet, Hobbies
This compilation of equations is designed to aid the student in preparing for exam p (probability) offered through the society of actuaries. 11 additional pages of exam information and helpful study tips Are you preparing for the society of actuaries (soa) exam p? This foundational exam tests understanding of probability concepts that form the basis of actuarial science. This comprehensive.
Actuary Exam P formula Sheet Cheat Sheet Mathematics Docsity
Calculate the probability that a man randomly selected from this group died of causes related to heart disease, given that neither of his parents. Univariate probability distributions kc *learn both discrete and continuous cases *probability mass function (pmf) ∑eff. 11 additional pages of exam information and helpful study tips This foundational exam tests understanding of probability concepts that form the.
Probability For Dummies Cheat Sheet For Dummies Statistics math
Calculate the probability that a man randomly selected from this group died of causes related to heart disease, given that neither of his parents. 11 additional pages of exam information and helpful study tips Are you preparing for the society of actuaries (soa) exam p? Univariate probability distributions kc *learn both discrete and continuous cases *probability mass function (pmf) ∑eff..
Probability Cheat Sheet Black and White Download Printable PDF
Univariate probability distributions kc *learn both discrete and continuous cases *probability mass function (pmf) ∑eff. Calculate the probability that a man randomly selected from this group died of causes related to heart disease, given that neither of his parents. 34 pages of exam p formulas; This foundational exam tests understanding of probability concepts that form the basis of actuarial science..
Stam formula sheet coachingactuaries Copyright © 2021 Coaching
Calculate the probability that a man randomly selected from this group died of causes related to heart disease, given that neither of his parents. This compilation of equations is designed to aid the student in preparing for exam p (probability) offered through the society of actuaries. Download free exam p cheat sheets here: This foundational exam tests understanding of probability.
Probability Cheatsheet Download Printable PDF Templateroller
Univariate probability distributions kc *learn both discrete and continuous cases *probability mass function (pmf) ∑eff. Download free exam p cheat sheets here: Are you preparing for the society of actuaries (soa) exam p? 34 pages of exam p formulas; 11 additional pages of exam information and helpful study tips
Mastering Actuary Exam P Your Ultimate Formula Sheet Guide
11 additional pages of exam information and helpful study tips Calculate the probability that a man randomly selected from this group died of causes related to heart disease, given that neither of his parents. Download free exam p cheat sheets here: This comprehensive cheat sheet covers all the essential concepts you need to. Univariate probability distributions kc *learn both discrete.
Mastering Actuary Exam P Your Ultimate Formula Sheet Guide
This compilation of equations is designed to aid the student in preparing for exam p (probability) offered through the society of actuaries. 11 additional pages of exam information and helpful study tips Calculate the probability that a man randomly selected from this group died of causes related to heart disease, given that neither of his parents. This comprehensive cheat sheet.
This Comprehensive Cheat Sheet Covers All The Essential Concepts You Need To.
11 additional pages of exam information and helpful study tips Univariate probability distributions kc *learn both discrete and continuous cases *probability mass function (pmf) ∑eff. Download free exam p cheat sheets here: Are you preparing for the society of actuaries (soa) exam p?
This Foundational Exam Tests Understanding Of Probability Concepts That Form The Basis Of Actuarial Science.
Calculate the probability that a man randomly selected from this group died of causes related to heart disease, given that neither of his parents. 34 pages of exam p formulas; This compilation of equations is designed to aid the student in preparing for exam p (probability) offered through the society of actuaries.






